写在前面:本文原文采用word文档编写,因导入时公式无法正常显示,采用图片的方式分享。本文将公式采用头条平台内部公式输入,所以公式得到完美呈现,因原文较长包含公式较多,本次以系列的形式分享出来,让读者有更好的体验。
一、前言
非标设备常用的机械传动方式,包括皮带传动、链传动、齿轮传动、丝杆传动等等。马达选型是机械传动设计要解决的首要问题,当我们按下启动按钮时,设备能够按照预想的要求运行起来,设计就几乎成功了一大半。马达选型时转动惯量是很重要的参数之一,一般来说我们选用外购标准件如带轮、链轮、齿轮及滚珠丝杆,还有连轴器、轴承等,其转动惯量都可以在制造商提供的型录中查到,它是根据零件的材料、外形结构特征和尺寸计算得到的,通常直接选用即可。
本文将分享常用的有代表性刚性体的转动惯量的计算公式的推导过程,了解微积分相关知识及其在机械设计中的实际运用,了解转动惯量计算公式的推导演算过程,做到知其然也知其所以然,只有这样才能真正熟练掌握并灵活应用,在设计和调试、使用过程中遇到问题才能快速解决。
二、基本概念
转动惯量是刚体绕轴转动时惯性(回转物体保持其匀速圆周运动或静止的特性)的量度,其数学表达式:

式中:J - 转动惯量;mi- 刚体的某个质点的质量;ri- 该质点到转轴的垂直距离。
这是刚性体转动惯量推导计算的基本依据。
图片来自网络
三、圆环的转动惯量
图片来自网络
1 转轴z通过圆环中心且与环面垂直
圆环的转动惯量公式:
式中:J ─ 圆环的转动惯量,m ─ 圆环的质量,R ─ 圆环的半径。
图片来自网络
在圆环上取一质元,其质量为:

,

为圆弧元,为线密度,

该质元对转轴z的元转动惯量:

圆环对转轴 z 的转动惯量为:


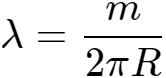
这里再分享另一种计算方式,基本思路是将转换为

,对角度进行积分。
图片来自网络
如图所示,假定

为圆弧元,其对应的圆角为

,则

该质元对中心垂直轴 z 的元转动惯量:

圆环对该轴的转动惯量为:


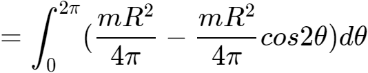
2 转轴z通过圆环中心且与环面重合
圆环的转动惯量:

式中:J ─ 圆环的转动惯量,m ─ 圆环的质量,R ─ 圆环的半径。
如图所示,在圆环上取一质元

,其弧长为,其对应的圆心角为

,其质量为

,质元与圆心的连线和转轴 z 的夹角为,质元与转轴 z 的垂直距离为 r。
则:

,

圆环的线密度:


质元的转动惯量为:



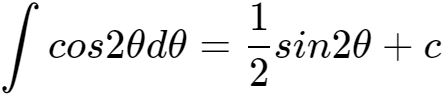
【说明】这里用到了三角函数的半角公式(或倍角公式):

则圆环对该转轴的转动惯量为:



【说明】这里用到了微积分公式:

,

编后:本文参考了来自网络资料,大多公式残缺不完整,本文根据笔者经验进行完善和补充,图片来自网络。
特别声明:文章来源用户上传并发布,本站只提供信息存储服务,不拥有所有权,内容仅供参考。